Lipides
Acides gras
Synthèse des acides gras
: allongement de la chaîne carbonée
- Biochimie
- Chimie organique
- Bioénergétique
- Composition de la matière vivante
- Composés organiques
- Protides
- Acides nucléiques
- Glucides
- Lipides
- Vue d'ensemble des lipides
- acides gras (FA)
- Classification des lipides
- Cholestérol
- Glycérides
- Trafic non vésiculaire des lipides et LTP
- Digestion et absorption entérocytaire des lipides
- Lipoprotéines
- Gouttelettes lipidiques (LD)
- Coenzymes
- Hormones
- Composés inorganiques
- Composés organiques
- Transport membranaire
- Moteurs moléculaires
- Voies de signalisation
Suite à la première étape de leur synthèse par les acides gras synthases (FAS), la chaîne acyle des acides gras (FA) peut être allongée.
Chez les mammifères, la FAS I cytoplasmique arrête sa synthèse à l'acide palmitique (16:0).
Pour obtenir des acides gras à longue chaîne (LCFA) comme le stéarate (18:0) ou plus, et à très longue chaîne (VLCFA), elle fait appel à deux organites (Mammalian Fatty Acid Elongases 2009) :
- la partie microsomale du réticulum endoplasmique (RE),
- les mitochondries.
Les acides gras à très longue chaîne (VLCFA) sont des éléments constitutifs essentiels à la synthèse :
- des sphingolipides et des glycérolipides,
- des eicosanoïdes.
Partie microsomale du réticulum endoplasmique
La partie microsomale du réticulum endoplasmique (RE), i.e. du coté cytosolique, contient des enzymes appelées élongases, quelquefois appelées FAS III, qui catalysent l'ajout d'unités de malonyl-CoA, en C2, aux acides gras préformés, sous forme d'acyl-CoA, sans utiliser l'ACP (Acyl Carrier Protein).
Vous pouvez lire : The structural basis of fatty acid elongation by the ELOVL elongases (2021) et Metabolism of Very Long-Chain Fatty Acids: Genes and Pathophysiology (2014).
(Figure : vetopsy.fr d'après Nie et coll)
1. Sept ELOVL (ELOngation of Very-Long-chain fatty acid) chez les mammifères peuvent catalyser la réaction de condensation dans le cycle d'allongement ( Membres de la famille ELOVL, emplacement de leurs tissus ou organes et fonction).
| Élongases | Substrats | Tissus |
|---|---|---|
| ELOVL1 |
|
Ubiquitaire, forte dans le cerveau |
| ELOVL2 | Acides gras polyinsaturés C18-C22 | Foie, testicules, glande parathyroïde, placenta |
| ELOVL3 |
|
Testicules, peau, faible expression ubiquitaire |
| ELOVL4 | Acides gras saturés et polyinsaturés C24 et > C24 |
Thymus, peau, testicules intestin, ovaires, prostate |
| ELOVL5 | Acides gras polyinsaturés C18-C22 | Ubiquitaire |
| ELOVL6 | Acides gras saturés, monoinsaturés et polyinsaturés |
Ubiquitaire |
| ELOVL7 | Acides gras saturés C18-C22 | Ubiquitaire (sauf foie et muscles) |
a. ELOVL 1, 3, 6 et 7 sont impliqués dans la production d'acides gras saturés (SFA) et monoinsaturés (MUFA), i.e. à une seule double liaison, à chaîne plus longue,
b. ELOVL 2, 4 et 5 sont des élongases d'acides gras polyinsaturés (PUFA) des groupes n-6 et n-3.
Elovl8 est trouvée chez les poissons (Evolution and Functional Characteristics of the Novel elovl8 That Play Pivotal Roles in Fatty Acid Biosynthesis 2021).
(Figure : vetopsy.fr d'après Sassa et Kihara)
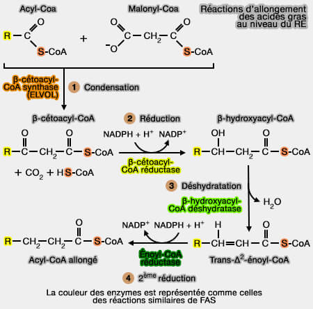
2. Les réactions utilisent les mêmes réactions que dans FAS I, i.e. 3 à 6, mais à partir d'un acyl-CoA, ici le palmitoyl-CoA avec le malonyl-CoA, à savoir :
- condensation par l'ELVOL, i.e. β-cétoacyl-CoA synthase (EC 2.3.1.199), i.e. KS ou KAS proprement dite pour obtenir un 3-céto-acyl-CoA,
- réduction par la very-long-chain 3-cétoacyl-CoA réductase (EC 1.1.1.330), i.e. KR ou KAR, avec NADPH pour obtenir un 3-hydroxyacyl-CoA,
-
déshydratation par la very-long-chain (3R)-3-hydroxyacyl-CoA déshydratase (EC 4.2.1.134), i.e. DH pour obtenir un trans-2,3-acyl-CoA,
Élongases du réticulum endoplasmique
(Figure : vetopsy.fr ) - 2ème réduction par la very-long-chain énoyl-CoA réductase (EC 1.3.1.93), i.e. ER ou ERT, pour donner un acide gras de 2 carbones plus longs que la molécule de départ.
3. Les ELOVL jouent un rôle dans de nombreuses pathologies ( tableau), en particulier dans les maladies neurologiques (Therapeutic Role of ELOVL in Neurological Diseases 2023).
Mitochondrie
L'allongement des acides gras au niveau mitochondrial, système mineur, implique paradoxalement certaines enzymes de la bêta-oxydation (β-oxydation ou FAO, fatty Acid β-Oxydation) qui sont réversibles (Fatty acid desaturation and chain elongation in eukaryotes 2002).
1. Cet allongement mitochondrial nécessite des acides gras à partir de 16 carbones synthétisés par le système cytoplasmique pour conduire à des acides en C18, C20, C22 saturés ou non…
- L’acyle gagne la mitochondrie grâce à la navette carnitine.
- CoA prend la place de l’ACP comme transporteur d’acyle.
2. Les trois premières réactions utilisent la réversibilité des étapes 2 à 4 de la β-oxydation.
a. L'inverse de la scission (étape 4 de la β-oxydation) par la 3-acétoacatyl-CoA thiolase.
b. L'inverse de l'oxydation (étape 3 de la β-oxydation), i.e. réduction par la 3-hydroxyacyl-CoA-déshydrogénase.
c. L'inverse de l'hydratation de la double liaison (étape 2 de la β-oxydation) par la 2-énoyl-CoA hydratase (ECH) ou crotonase.
3. La dernière étape est réalisée par une réductase à NADPH, la 2-trans-énoyl-CoA réductase (EC 1.3.1.38), qui n'appartient pas à la bêta-oxydation, pour obtenir un acyl-CoA à 2 carbones supplémentaires.
Désaturation de la chaîne carbonée
BiochimieChimie organiqueBioénergétiqueProtidesGlucidesLipidesAcides grasSynthèse des acides grasβ-oxydationCorps cétoniquesOxylipinesLipides vraisLipides vrais simplesLipides vrais complexesLipoïdesCholestérolGlycéridesPhospholipidesGlycérophospholipidesSphingophospholipidesTrafic non vésiculaire et LTPDigestion et absorption entérocytaire des lipidesLipoprotéinesApolipoprotéinesGouttelettes lipidiques (LD)EnzymesCoenzymesVitaminesHormonesComposés inorganiquesTransport membranaireMoteurs moléculairesVoies de signalisation