Lipides
Classification des lipides
Composés à caractère lipidique, lipoïdes ou
lipides insaponifiables
- Biochimie
- Chimie organique
- Bioénergétique
- Composition de la matière vivante
- Composés organiques
- Protides
- Acides nucléiques
- Glucides
- Lipides
- Coenzymes
- Hormones
- Composés inorganiques
- Composés organiques
- Transport membranaire
- Moteurs moléculaires
- Voies de signalisation
Les composés à caractère lipidique, lipoïdes ou lipides insaponifiables, qui font partie des lipides, ne contiennent pas d'acides gras.
On distingue :
a. Les lipides vrais qui sont dits :
- simples, quand ils sont composés que de $\ce{C, H, O}$,
- complexes quand ils contiennent des $\ce{C, H, O, N, P, S, oses}$, i.e. oses pris au sens large, i.e. oses vrais et dérivés d'oses.
b. Les composés à caractère lipidique ne contiennent pas d'acides gras.
Vous pouvez lire : Update on LIPID MAPS classification, nomenclature, and shorthand notation for MS-derived lipid structures (2020).
| Composés à caractère lipidique, lipoïdes ou lipides insaponifiables | ||||
|---|---|---|---|---|
| Polycétides | Lipides isopréniques | |||
| Terpénoïdes | Caroténoïdes | Quinones de la chaîne respiratoire |
Stéroïdes | |
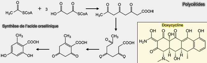
Polycétides
Les polycétides sont des molécules constituées d'un enchaînement alterné de groupe cétone ($\ce{-C=O}$) ou formes réduites d'une cétone de groupe méthylène ($\ce{-CH2-}$ ou $\ce{=CH2}$).
- Les polycétides sont produits par les bactéries, les champignons, les plantes et certains organismes marins.
- Les métabolites sont utilisés en pharmacie comme antibiotiques, antimycotiques, cytostatiques…
(Figure : vetopsy.fr)
Lipides isopréniques
1. Les lipides isopréniques résultent de la polycondensation d'unités d'isoprène ($\ce{(-CH=C(CH3)−CH=CH-)_n}$ ou ($\ce{(-C5H6-)_n}$ en C5.
Ces produits sont appelés terpènes, lorsqu'ils sont composés de 2 isoprènes, au sens strict, ou plus au sens large, terme habituellement utilisé comme celui de isoprénoïdes ou terpénoïdes.
- Ces dérivés peuvent être classés en fonction du nombre d'unités isoprène qui les composent, i.e. C5 x 2, 3…
- Le squalène est un C5 X 6, ou un triterpène qui est un précurseur des stérols par cyclisation.
(Figure : vetopsy.fr)
Remarque : l'isoprénylation ou prénylation est une modification post-traductionnelle classique des protéines.
2. Dans la famille des lipides isopréniques, on trouve :
- les terpénoïdes (ou isoprénoïdes),
- les caroténoïdes,
- les tocophérols ou vitamine E (
Tocopherols and Tocotrienols de LipidWeb),
-
les rétinoïdes ou vitamine A (
Nomenclature des stéroïdes
(Figure : vetopsy.fr)Retinoids de LipidWeb),
- d'autres isoprénoïdes membranaires (
Other Membrane-Associated Isoprenoids de LipidWeb),
- une quinone de la chaîne respiratoire, i.e. coenzyme Q10,
- les stéroïdes,
- le dolichol, composé entrant dans les processus de glycosylation,
- …
Eicosanoïdes
Les eicosanoïdes (du grec eikosi, " vingt ") ou icosanoïdes constituent une grande famille de dérivés d'oxydation d'acides gras polyinsaturés à 20 atomes de carbone comme l'acide arachidonique.
On distingue deux types d'eicosanoïdes :
a. les leucotriènes (LT), molécules linéaires,
b. les prostanoïdes, molécules cycliques, parmi lesquelles :
- les prostaglandines (PG) et les prostacyclines (PGI), à cycle à 5 carbones,
- les thromboxanes (TX), à cycle à 6 carbones.
Retour vers la classification des lipides
BiochimieChimie organiqueBioénergétiqueProtidesGlucidesLipidesAcides grasLipides vraisLipides vrais simplesLipides vrais complexesLipoïdesCholestérolGlycéridesPhospholipidesGlycérophospholipidesSphingophospholipidesTrafic non vésiculaire et LTPDigestion et absorption entérocytaire des lipidesLipoprotéinesApolipoprotéinesGouttelettes lipidiques (LD)EnzymesCoenzymesVitaminesHormonesComposés inorganiquesTransport membranaireMoteurs moléculairesVoies de signalisation