Lipides
Acides gras
Oxylipines : SPM (Specialized Pro-resolving Mediators)
- Biochimie
- Chimie organique
- Bioénergétique
- Composition de la matière vivante
- Composés organiques
- Protides
- Acides nucléiques
- Glucides
- Lipides
- Vue d'ensemble des lipides
- acides gras (FA)
- Classification des lipides
- Cholestérol
- Glycérides
- Trafic non vésiculaire des lipides et LTP
- Digestion et absorption entérocytaire des lipides
- Lipoprotéines
- Gouttelettes lipidiques (LD)
- Coenzymes
- Hormones
- Composés inorganiques
- Composés organiques
- Transport membranaire
- Moteurs moléculaires
- Voies de signalisation
Les SPM (Specialized Pro-resolving Mediators) sont des oxylipines de signalisation cellulaire formées dans les cellules par le métabolisme des acides gras polyinsaturés (AGPI ou PUFA) impliquées dans la résolution de l'inflammation.
Si les eicosanoïdes ont une importance particulière d'un point de vue historique, leurs activités biologiques doivent prendre en compte les SPM.
(Figure : vetopsy.fr)
Vue d'ensemble des SPM
L'inflammation est une réponse naturelle qui se divise en 3 grandes étapes : l’initiation, l’amplification et la résolution (Roles, Actions, and Therapeutic Potential of Specialized Pro-resolving Lipid Mediators for the Treatment of Inflammation in Cystic Fibrosis 2019).
(Figure : vetopsy.fr d'après Serhan et coll)
1. Les SPM (Specialized Pro-resolving Mediators) sont des molécules de signalisation cellulaire formées dans les cellules par le métabolisme des acides gras polyinsaturés (AGPI ou wPUFA) par une ou une combinaison de lipoxygénase, de cyclooxygénase et de cytochrome P450.
2. Ces molécules contrôlent les mécanismes physiologiques impliqués dans la terminaison de l’inflammation (Novel Pro-Resolving Lipid Mediators in Inflammation Are Leads for Resolution Physiology 2014) :
- diminution du recrutement des cellules inflammatoires,
- élimination des pathogènes jusqu’à la cicatrisation,
- diminution de la douleur.
3. Ce sont des molécules prometteuses pour le développement de nouveaux médicaments contre les maladies inflammatoires chroniques, i.e. NAFLD (NonAlcoholic Fatty Liver Disease), dans les infections par les prions ou les candida, la résistance à l'insuline, le diabète et l'obésité, l'athérosclérose et les maladies cardiovasculaires et neurodégénératives (Alzheimer’s Disease and Specialized Pro-Resolving Lipid Mediators: Do MaR1, RvD1, and NPD1 Show Promise for Prevention and Treatment? 2020).
(Figure : vetopsy.fr d'après Serhan)
Classification des SPM
Les SPM sont très nombreuses et leur liste ne fait que s'allonger : nous ne citerons ici que les plus courantes car leur description nous entrainerait trop loin.
Vous pouvez vous référer à LipidWeb, à Wikipedia et Roles, Actions, and Therapeutic Potential of Specialized Pro-resolving Lipid Mediators for the Treatment of Inflammation in Cystic Fibrosis 2019, articles dans lesquels leurs synthèses sont décrites précisément.
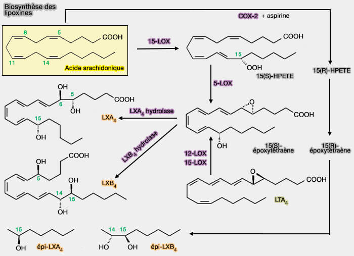
Dérivés des oméga-6 : lipoxines
Les lipoxines (LX) sont des acides trihydroxy-eicosatétraénoïques, métabolites de l'acide arachidonique, 20:4(Δ5,8,11,14) ou 20:4(n-6), i.e. oméga-6, qui sont proches structurellement des leucotriènes.
Vous pouvez lire : Lipoxins and Related Compounds de LipidWeb.
1. Les lipoxines peuvent être produites :
- par une voie directe, i.e. 15(S)-HPETE,
- par la voie passant par le leucotriène A4 (LTA4).
(Figure : vetopsy.fr)
2. On trouve dans cette famille :
- les lipoxines LXA4 et LXB4,
- les épi-lipoxines (ATL ou Aspirin-Triggered Lipoxins), épimères sur le groupe hydroxyl de C-15 des précédentes, i.e. épi-LXA4 et épi-LXB4.
Dérivés des oméga-3
Les docosanoïdes en C22 constituent les molécules les plus fréquemment rencontrées et les classes de SPM suivantes sont des dérivées des oméga-3.
Vous pouvez lire : Protectins, Resolvins and Maresins - Specialized Pro-Resolving Mediators de LipidWeb.
(Figure : vetopsy.fr)
1. Les résolvines (Rv) comprennent trois classes (Resolvins and cysteinyl-containing pro-resolving mediators activate resolution of infectious inflammation and tissue regeneration 2023) :
- les résolvines-E (RvE) dérivées de l'acide eicosapentaénoique (EPA), 20:5(Δ5,8,11,14,17) ou 20:5(n-3),
- les résolvines-D (RvD)dérivées de l'acide docosahexaénoique (DHA), 22:6(Δ4,7,10,13,16,19) ou 22:6(n-3),
- les résolvines-T dérivées de l'acide docosapentaénoique (n-3 DPA), 22:5(Δ7,10,13,16,19) ou 22:5(n-3).
(Figure : vetopsy.fr)
2. Les marésines (MaR) comprennent :
- les marésines dérivées de l'acide docosahexaénoique (DHA), 22:6(Δ4,7,10,13,16,19) ou 22:6(n-3),
- les marésines dérivées de l'acide docosapentaénoique (n-3 DPA), 22:5(Δ7,10,13,16,19) ou 22:5(n-3).
3. Les protectines ou neuroprotectines (PD) sont dérivées de l'acide docosahexaénoique (DHA), 22:6(Δ4,7,10,13,16,19) ou 22:6(n-3).
Retour vers les oxylipines
BiochimieChimie organiqueBioénergétiqueProtidesGlucidesLipidesacides gras (FA)Synthèse des acides grasβ-oxydationCorps cétoniquesOxylipinesLipides vraisLipides vrais simplesLipides vrais complexesLipoïdesCholestérolGlycéridesPhospholipidesGlycérophospholipidesSphingophospholipidesTrafic non vésiculaire et LTPDigestion et absorption entérocytaire des lipidesLipoprotéinesApolipoprotéinesGouttelettes lipidiques (LD)EnzymesCoenzymesVitaminesHormonesComposés inorganiquesTransport membranaireMoteurs moléculairesVoies de signalisation