• Comportement du chien et
    du chat
  • Celui qui connait vraiment les animaux est par là même capable de comprendre pleinement le caractère unique de l'homme
    • Konrad Lorenz
  • Biologie, neurosciences et
    sciences en général
  •  Le but des sciences n'est pas d'ouvrir une porte à la sagesse infinie,
    mais de poser une limite à l'erreur infinie
    • La vie de Galilée de Bertold Brecht

Bioénergétique
Composés " riches en énergie "
Composés à liaison phosphate

Sommaire
définition

Les composés à liaison phosphate riches en énergie comprennent, d'après le type de liaison phosphate, plusieurs groupes.

Les composés à liaison phosphate riches en énergie comprennent, d'après le type de liaison phosphate qu'ils comportent :

bien

Les nucléosides diphosphate et triphosphate sont étudiés dans un chapitre spécifique, i.e. l'ATP est plus largement développé.

Acylphosphates : anhydrides mixtes
carboxyliques-phosphoriques

Les principaux acylphosphates sont :

Mode d'action

La liaison $\ce{C=O}$ d'un acylphosphate est de caractère polaire : l'oxygène acquiert une charge négative partielle qui labilise la liaison anhydride.

  • Les produits d'hydrolyse sont tous deux chargés négativement, ce qui maintient une forte répulsion entre eux.
  • La labilité de ces liaisons dépend de l'ionisation qui peut s'établir, donc du pH du milieu.

1,3-bisphosphoglycérate

1. L'acide bisphosphoglycérique (1,3BPG), $\ce{C3H8O10P2}$ possède :

  • Biphosphoglycérates
    Biphosphoglycérates
    (Figure : vetopsy.fr)
    une liaison phosphorique labile à haute énergie,
  • une liaison ester phosphorique d'alcool beaucoup plus résistante à l'hydrolyse.

a. L'oxydation phosphorylante du glycéraldéhyde-3-phosphate (G3P) en 1,3-bisphosphoglycérate (1,3-BPG) couple une phosphorylation à une déshydrogénation.

b. Cette réaction est l'une des étapes les plus importantes de la glycolyse.

Elle permet la mise en réserve de l'énergie produite par l'oxydation du glycéraldéhyde-3-phosphate, sous forme d'une liaison acylphosphate " riche en énergie ".

2. Dans les érythrocytes matures dépourvus de mitochondries dont le métabolisme du glucose est entièrement anaérobie, le 2,3-bisphosphoglycérate (2,3-BPG), un composé unique, qui favorise la dissociation de l'oxyhémoglobine, se forme dans les érythrocytes à partir du 1,3-bisphosphoglycérate (loupe voie de Rapoport-Luebering).

Esters phosphoriques d'énol

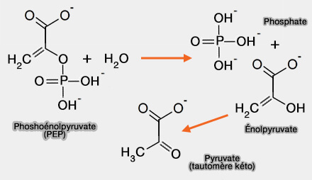
1. L'acide phosphoénolpyruvique (PEP) ou phosphoénolpyruvate, $\ce{C3H5O6P}$, est un intermédiaire :

Phosphoénolpyruvate
Phosphoénolpyruvate
(Figure : vetopsy.fr)

La présence de la double liaison modifie la répartition électronique autour du carbone central, favorisant la répulsion entre le $\ce{COO-}$ et le reste phosphorique et, là encore, les produits de réaction sont tous deux chargés négativement.

2. De plus, l'acide énolpyruvique, libéré lors de l'hydrolyse, est instable et se transforme immédiatement en sa forme tautomère cétonique plus stable (loupeformation de pyruvate).

bien

L'ensemble du processus correspond à une $\Delta G_0$ de - 14 800 cal. mole-1, faisant du phosphoénolpyruvate le composé à liaison la plus riche en énergie.

Phosphamides (phosphates de guanidinium)

1. On trouve dans le muscle deux types de phosphamides, qu'on appelle phosphagènes :

  • la phosphocréatine chez les vertébrés,
  • la phosphoarginine chez les invertébrés.

L'énergie libre d'hydrolyse à pH 7 est, pour la phosphocréatine, de - 10 300 cal mole-1.

2. La conversion de la phosphocréatine en créatine dans les muscles par la créatine kinase (CK, encore appelée créatine phosphokinase ou CPK), i.e. EC 2.7.3.2 est un exemple de phosphorylation au niveau du substrat, i.e. phosphoryation de l'ADP en ATP.

Ces composés servent de réserve d'énergie dans le muscle, quand la concentration en ATP nécessaire à la contraction diminue.

Phosphocréatine
Phosphocréatine
(Figure : vetopsy.fr)

Composés à liaison phosphoanhydride (ou pyrophosphate)