Lipides
Lipides complexes
: phospholipides
Glycérophospholipides
Phosphatidylsérine (PS)
- Biochimie
- Chimie organique
- Bioénergétique
- Composition de la matière vivante
- Composés organiques
- Protides
- Acides nucléiques
- Glucides
- Lipides
- Vue d'ensemble des lipides
- Acides gras
- Classification des lipides
- Lipides vrais
- Composés à caractère lipidique, lipoïdes ou lipides insaponifiables
- Phospholipides
- Cholestérol
- Glycérides
- Trafic non vésiculaire des lipides et LTP
- Digestion et absorption entérocytaire des lipides
- Lipoprotéines
- Gouttelettes lipidiques (LD)
- Coenzymes
- Hormones
- Composés inorganiques
- Composés organiques
- Transport membranaire
- Moteurs moléculaires
- Voies de signalisation
La phosphatidylsérine (PS), qui fait partie des glycérophospholipides (phosphoacylglycérols, ou encore phosphoglycérides), est un constituant du feuillet interne des bicouches membranaires qui est responsable de la différence de potentiel membranaire, et à ce titre, a de nombreuses fonctions.
| Glycérophospholipides (forment les phospholipides avec les sphingophospholipides) |
|
|---|---|
| Azotés | Non azotés |
| Lysoglycérophospholipide | |
La phosphatidylsérine (PS) est décrite de manière détaillée dans : Phosphatidylsérine and Related Lipids de LipidWeb.
Vue d'ensemble de la phosphatidylsérine
La phosphatidylsérine (1,2-diacyl-sn-glycero-3-phospho-L-sérine ou PE) est un phospholipide anionique, à forte charge négative.
(Figure : vetopsy.fr d'après Krahn)
1. La phosphatidyléthanolamine représente moins de 10% des phospholipides bien qu'elle soit largement distribuée.
Sa plus grande concentration la plus élevée est localisée dans la myéline du tissu cérébral.
2. La concentration de phosphatidylsérine est la plus élevée dans la membrane plasmique et les endosomes, mais elle est très faible dans les mitochondries.
La phosphatidylsérine est un élément important des bicouches membranaires et n'est présente que sur le feuillet interne.
Structure de PE
1. La phosphatidylsérine, comme d'autres glycérophospholipides est constituée par :
- une tête hydrophile, i.e. sérine ($\ce{HOCH2-C(-OOH)H-NH2}$) et groupe phosphate ($\ce{PO4}$),
- une queue hydrophobe, i.e. résidus d'acides gras.
2. La phosphatidylsérine est un phospholipide acide avec trois groupes ionisables :
- la fraction phosphate, $\ce{PO4}$,
- le groupe amino, $\ce{NH2}$,
- la fonction carboxyle $\ce{COOH}$.
Remarque : la phosphatidylsérine se chélate au calcium, via les atomes d'oxygène chargés des fragments carboxyle et phosphate, modifiant ainsi la conformation du groupe de tête polaire.
Dans l'athérosclérose, la calcification de l'intima serait liée au passage des cellules musculaires lisse (CMLV) du phénotype contractile à un phénotype ostéo/chondrogénique, caractérisé par la sécrétion de vésicules extracellulaires (EV) contenant de la phosphatidylsérine (PS).
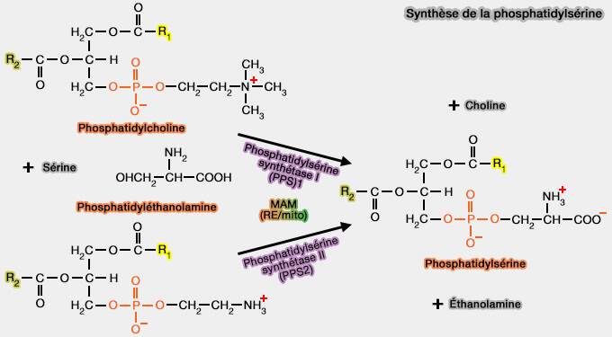
Synthèse de la phosphatidylsérine
La phosphatidylcholine est synthétisée par deux voies ( LPA de LipidWeb).
Biosynthèse de la L-sérine
1. La L-sérine est un acide aminé synthétisé activement par la plupart des organismes.
- Chez les animaux, elle est produite dans presque tous les types de cellules.
- Toutefois, dans le cerveau, elle est synthétisée par les astrocytes, mais pas par les neurones, qui doivent être alimentés en cet acide aminé pour la biosynthèse de la phosphatidylsérine et des sphingoïdes.
(Figure : vetopsy.fr)
2. La biosynthèse de la sérine se fait en trois étapes.
- a. Le 3-phosphoglycérate (3PG), i.e. étape 7 de la glycolyse, est oxydé en 3-phosphohydroxypyruvate par la phosphoglycérate déshydrogénase (EC 1.1.1.95).
- b. Le 3-phosphohydroxypyruvate est transaminé en 3-phosphosérine (O-phosphosérine) par la phosphosérine transaminase (EC 2.6.1.52).
- c. La 3-phosphosérine (O-phosphosérine) est hydrolysée en sérine par la phosphosérine phosphatase (EC 3.1.3.3).
Synthèse de la phosphatidylsérine
Chez les animaux, la phosphatidylsérine est synthétisée uniquement par des réactions d'échange de groupes de tête dépendantes du calcium, i.e. le groupe de tête polaire d'un phospholipide existant est échangé contre la L-sérine (Phosphatidylserine synthase plays an essential role in glia and affects development, as well as the maintenance of neuronal function 2021).
1. Deux voies sont possibles :
- à partir de la phosphatidylcholine (PC) par la phosphatidylsérine synthase I (PPS1),
$\ce{Phosphatidylcholine + sérine}$ $\leftrightharpoons$ $\ce{Phosphatidylsérine + choline}$
- à partir de la phosphatidyléthanolamine (PE) par la phosphatidylsérine synthase II, i.e. PPS2 ou L-sérine-phosphatidyléthanolamine phosphatidyltransférase (EC 2.7.8.29).
$\ce{Phosphatidyléthanolamine + sérine}$ $\leftrightharpoons$ $\ce{Phosphatidylsérine + éthanolamine}$
(Figure : vetopsy.fr)
Remarque : la phosphatidylsérine (PS) peut, à l'inverse, produire de la phosphatidyléthanolamine (voie mitochondriale de la phosphatidylsérine décarboxylase).
2. Cette synthèse a lieu dans le réticulum endoplasmique (RE), mais surtout dans les MAM (Mitochondria-Associated Membrane) qui correspondent aux sites de contact membranaire (MCS) entre mitochondries et RE (échanges de lipides dans les MAM).
Les PPS sont attachées aux MAM ce qui permet le transfert du RE aux mitochondries par le complexe ERMES (ER-Mitochondria Encounter Structure).
Remarque : l'apoE4 favoriserait la synthèse des phospholipides dans les MAM ( apoE4 et mitochondries).
Fonctions de la phosphatidylsérine
BiochimieChimie organiqueBioénergétiqueProtidesGlucidesLipidesAcides grasLipides vraisLipides vrais simplesLipides vrais complexesLipoïdesCholestérolGlycéridesPhospholipidesGlycérophospholipidesSphingophospholipidesTrafic non vésiculaire et LTPDigestion et absorption entérocytaire des lipidesLipoprotéinesApolipoprotéinesGouttelettes lipidiques (LD)EnzymesCoenzymesVitaminesHormonesComposés inorganiquesTransport membranaireMoteurs moléculairesVoies de signalisation