Enzymes
Groupe des hydrolases (EC 3)
Phosphatases : protéine phosphatases
Sérine/thréonine phosphatases
- Biochimie
- Chimie organique
- Bioénergétique
- Composition de la matière vivante
- Composés organiques
- Protides
- Acides nucléiques
- Glucides
- Lipides
- Enzymes
- Vue d'ensemble
- Classification des enzymes
- Oxydoréductases (EC 1)
- Transférases (EC 2)
- Hydrolases (EC 3)
- Lyases ou synthases (EC4)
- Isomérases (EC5)
- Ligases ou synthétases (EC 6)
- Coenzymes
- Hormones
- Composés inorganiques
- Composés organiques
- Transport membranaire
- Moteurs moléculaires
- Voies de signalisation
Les sérine/thréonine phosphatases (PSTPases : EC 3.1.3.16) sont des protéine phosphatases qui retirent un groupe phosphate des résidus tyrosine phosphorylés (pTyr).
Les sérine/thréonine kinases, au contraire, ajoutent un groupe phosphate aux tyrosines.
Vue d'ensemble des sérine/thréonine kinases
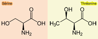
1. La sérine et la thréonine sont des acides aminés à chaînes latérales similaires qui contiennent un groupe hydroxyle (-OH) qui peut être phosphorylé par les sérine/thréonine kinases.
2. Les sérine/thréonine phosphatases retirent un groupe phosphate des résidus tyrosine phosphorylés (pTyr) :
- de nombreuses phosphoprotéines,
- d'un certain nombre d'enzymes qui ont été phosphorylées sous l'action d'une kinase comme les tyrosine kinases non spécifiques (EC 2.7.10.2).
L'enzyme splénique, i.e. la phosphoamidase (EC 3.9.1.1) agit également sur les phosphates phénoliques et les phosphamides.
2. Les sérine/thréonine phosphatases régulent :
- la prolifération cellulaire,
- l'apoptose,
- le développement embryonnaire,
- la différenciation.
Vous pouvez lire : Serine/Threonine Phosphatases: Classification, Roles and Pharmacological Regulation (2014), en attendant le développement de cette page.
La seule personne qui ait réussi à tout faire pour vendredi, c'est Robinson Crusoé !

BiochimieChimie organiqueBioénergétiqueProtidesGlucidesLipidesEnzymesKinasesHydrolasesPeptidases/protéasesPhosphatasesProtéine phosphatasesPI phosphatasesEstérasesLipasesPhospholipasesATPasesGTPasesProtéines GPetites GTPasesFamille dynamineCoenzymesVitaminesHormonesComposés inorganiquesTransport membranaireMoteurs moléculaires